Danh sách gần 2.600 ô tô và xe máy bị camera AI phạt nguội ở Hà Nội
Thông qua hệ thống camera AI được lắp đặt trên địa bàn Thành phố, từ ngày 22/12/2025 đến ngày 31/12/2025, Phòng CSGT Công an TP Hà Nội đã phát hiện, ghi nhận 2.580 vi phạm về Trật tự, an toàn giao thông.
Cụ thể, trong tổng số 2.580 vi phạm bị camera AI ghi nhận có 786 trường hợp ô tô và 1.794 trường hợp xe máy với các lỗi vi phạm chủ yếu gồm: Ngược chiều, sai làn, đường cấm, dừng đỗ sai quy định, không tuân thủ đèn tín hiệu giao thông...
Phòng CSGT Công an TP Hà Nội cho biết, các hành vi vi phạm được hệ thống ghi nhận với hình ảnh, clip đầy đủ, rõ nét; đủ thông tin về thời gian - địa điểm vi phạm, làm căn cứ pháp lý cho việc xử lý.
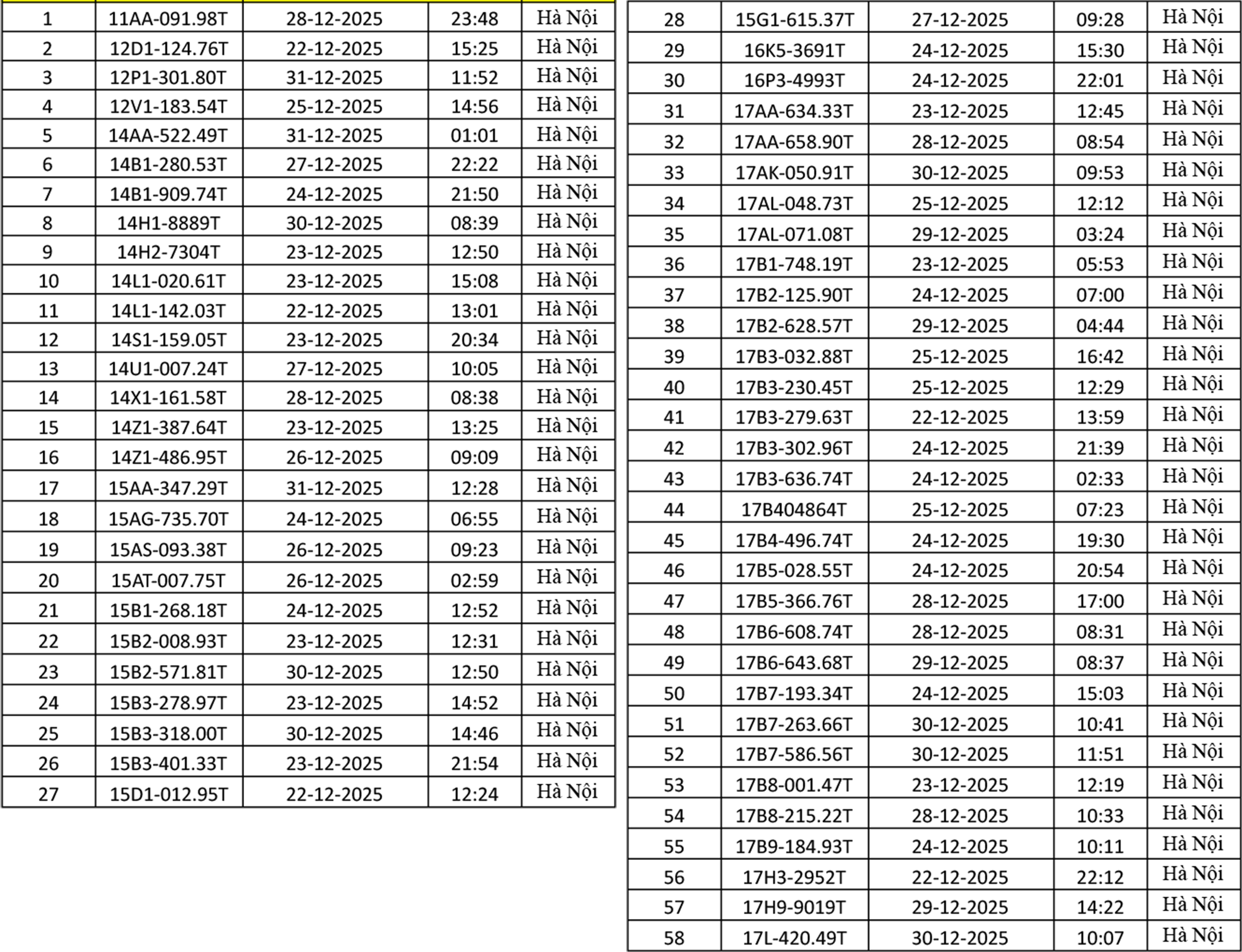
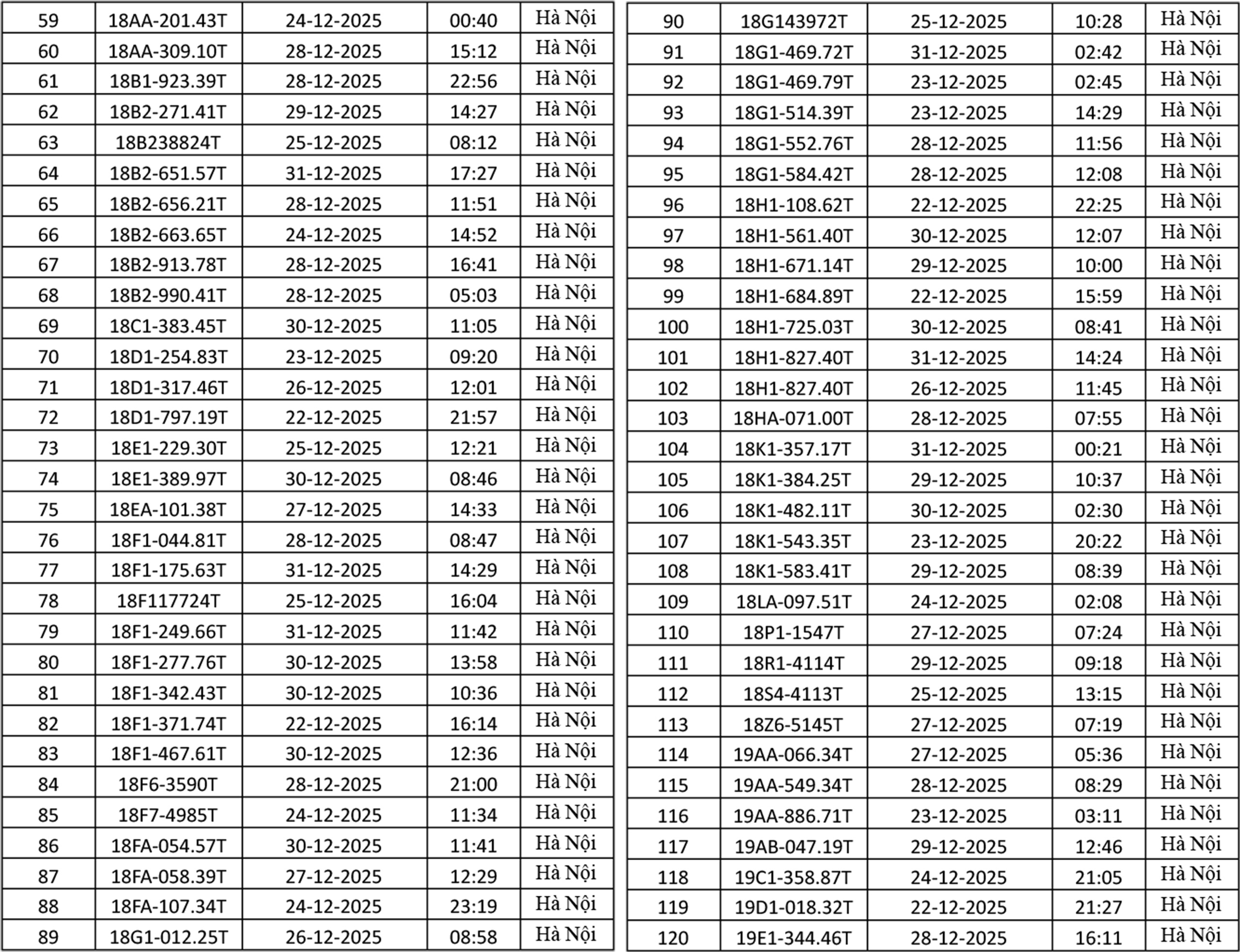
Danh sách một số xe ô tô bị camera AI phạt nguội ở Hà Nội:
Người dân có thể theo dõi đầy đủ tại đây.
Danh sách một số xe xe máy bị camera AI phạt nguội ở Hà Nội:
Người dân có thể theo dõi đầy đủ tại đây.








269 trường hợp vi phạm trật tự đô thị được phát hiện qua camera AI