Danh sách 342 ô tô và xe máy bị camera AI phạt nguội ở Hà Nội
Phòng CSGT Công an TP Hà Nội vừa công bố danh sách 342 trường hợp phương tiện bị camera AI phát hiện vi phạm (từ ngày 19-21/12/2025).
Tối 6/1, Phòng CSGT Công an TP Hà Nội cho biết, đơn vị đã hoàn tất việc gửi thông báo đến 342 chủ phương tiện ô tô và xe máy bị hệ thống camera AI trên toàn thành phố phát hiện vi phạm với các lỗi chủ yếu gồm: Ngược chiều, sai làn, đường cấm, dừng đỗ sai quy định, không tuân thủ đèn tín hiệu giao thông...
Chủ phương tiện, người điều khiển phương tiện có thể tra cứu thông tin “phạt nguội” trên ứng dụng VNeTraffic hoặc trang thông tin điện tử của Cục CSGT tại địa chỉ www.csgt.vn, hoặc liên hệ trực tiếp Đội Chỉ huy giao thông và điều khiển đèn tín hiệu giao thông (Phòng CSGT Công an TP Hà Nội) tại số 54 Trần Hưng Đạo, phường Cửa Nam, TP Hà Nội, điện thoại: 0692.196.440 để được hướng dẫn, giải quyết.
Đối với người dân cư trú trên địa bàn Hà Nội có thể đến 14 địa điểm tiếp nhận, giải quyết kết quả thu thập được bằng phương tiện, thiết bị nghiệp vụ (phạt nguội) của Phòng CSGT Công an TP Hà Nội để giải quyết vụ việc vi phạm hành chính.
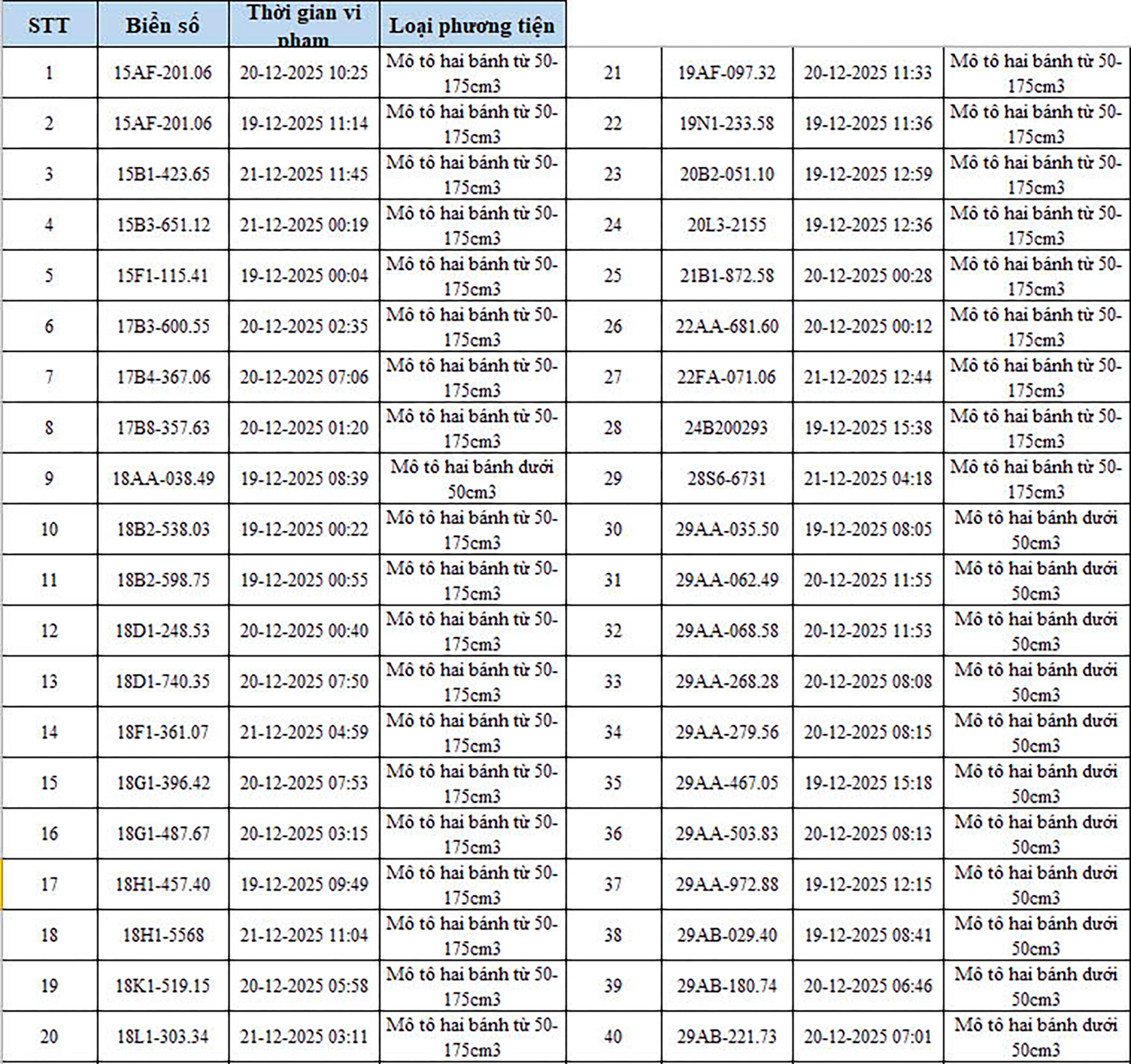
Danh sách xe máy bị camera AI phạt nguội ở Hà Nội:










Danh sách 545 ô tô, xe máy bị camera AI phạt nguội ở Hà Nội