10 ngày, gần 2.000 ô tô và xe máy bị phạt nguội ở Hà Nội
Thông qua hệ thống Camera AI được lắp đặt trên địa bàn Thành phố, từ ngày 11 đến ngày 20/1, Phòng CSGT Công an TP Hà Nội đã ghi nhận 1.826 vi phạm về TTATGT.
Cụ thể, trong tổng số 1.826 vi phạm bị camera AI ghi nhận có 398 trường hợp ô tô và 1.428 trường hợp xe máy với các lỗi vi phạm chủ yếu gồm: Ngược chiều, sai làn, đường cấm, dừng đỗ sai quy định, không tuân thủ đèn tín hiệu giao thông...
Phòng CSGT Công an TP Hà Nội cho biết, các hành vi vi phạm được hệ thống ghi nhận với hình ảnh, clip đầy đủ, rõ nét; đủ thông tin về thời gian - địa điểm vi phạm, làm căn cứ pháp lý cho việc xử lý.
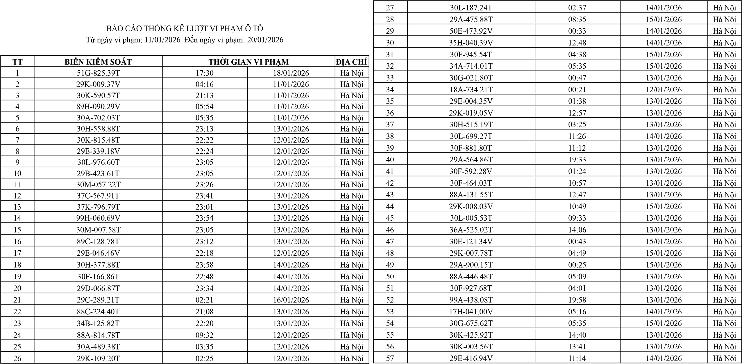
Danh sách một số xe ô tô bị camera AI phạt nguội ở Hà Nội:
Người dân có thể theo dõi đầy đủ tại đây
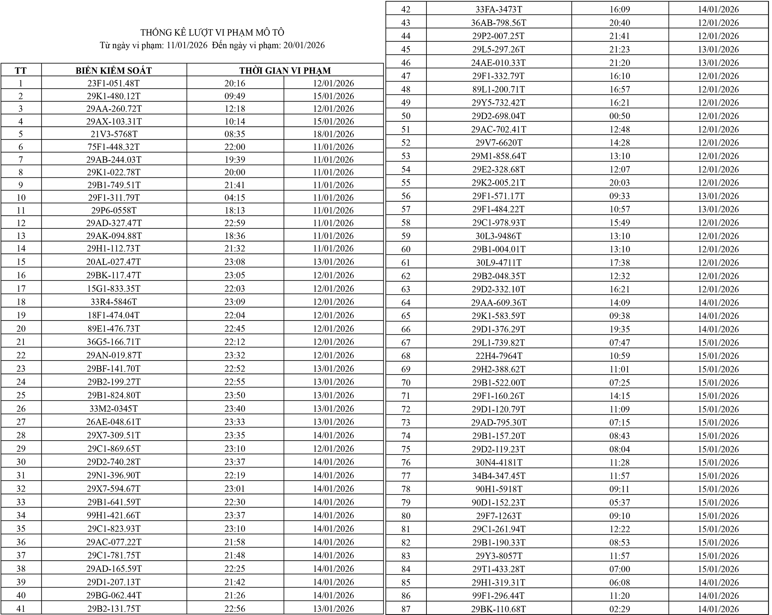
Danh sách một số xe máy bị camera AI phạt nguội ở Hà Nội:
Người dân có thể theo dõi đầy đủ tại đây
Đối với các hành vi vi phạm TTATGT đường bộ được phát hiện qua hệ thống Camera AI, người dân có thể lựa chọn một trong hai hình thức xử lý vi phạm sau:
Thứ nhất, trực tiếp đến trụ sở các Đội Cảnh sát giao thông để làm việc.
Thứ hai, xử lý trực tuyến trên môi trường điện tử thông qua ứng dụng iHanoi, không cần đến cơ quan công an.




Tài xế vi phạm giao thông xử lý “phạt nguội” qua iHanoi như nào?